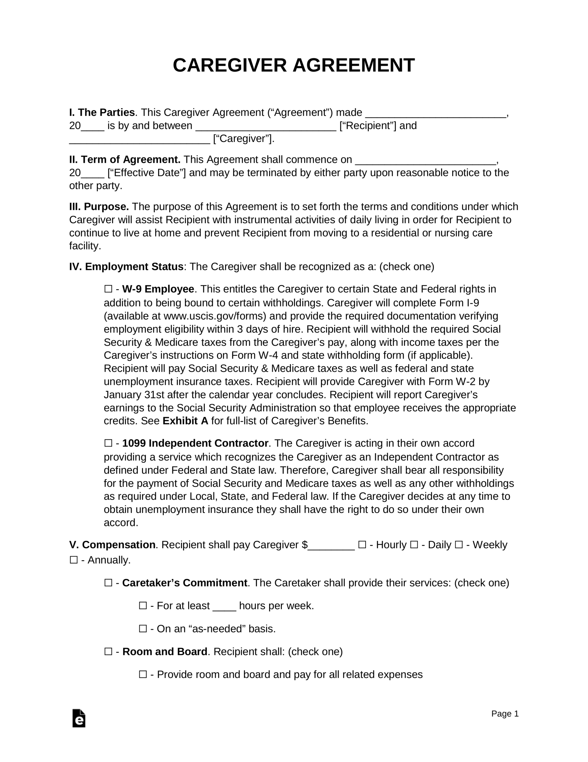
When hiring a caregiver for yourself or a loved one, it’s important to have a clear and detailed contract in place to ensure that both parties are on the same page. A caregiver contract outlines the responsibilities, expectations, and terms of employment for the caregiver, providing peace of mind for both the caregiver and the client.
Creating a caregiver contract from scratch can be a daunting task, which is why using a printable caregiver contract template can be a helpful tool. These templates provide a framework for the contract, making it easier to customize and tailor to your specific needs.
Printable Caregiver Contract Template
One key aspect of a caregiver contract is outlining the duties and responsibilities of the caregiver. This may include tasks such as meal preparation, medication reminders, transportation, and companionship. It’s important to be specific and detailed in outlining these responsibilities to avoid any confusion or misunderstandings.
Another important component of the caregiver contract is the schedule and hours of work. Clearly define the days and times when the caregiver will be expected to work, as well as any overtime or holiday pay policies. This helps ensure that both parties are aware of the expectations and can plan accordingly.
The caregiver contract should also include details about compensation, including hourly rate, payment schedule, and any benefits or perks that may be included. It’s important to be transparent about the financial aspect of the agreement to avoid any disputes down the line.
In addition to outlining duties, schedule, and compensation, a caregiver contract should also address other important details such as confidentiality agreements, termination policies, and emergency procedures. These provisions help protect both the caregiver and the client and ensure a smooth working relationship.
Overall, using a printable caregiver contract template can help simplify the process of creating a caregiver contract and ensure that all important details are included. By customizing the template to fit your specific needs and situation, you can create a clear and comprehensive agreement that benefits both parties involved.
In conclusion, a caregiver contract is an essential document for anyone hiring a caregiver, providing clarity and protection for both parties. Using a printable caregiver contract template can make the process easier and more efficient, ensuring that all important details are included in the agreement.
