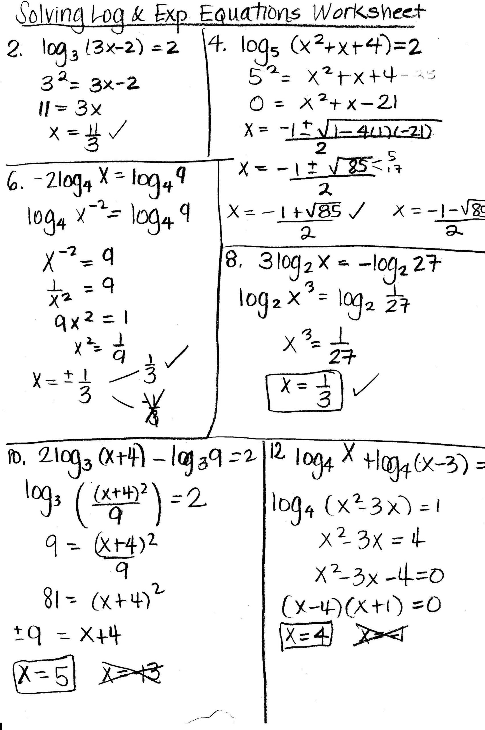
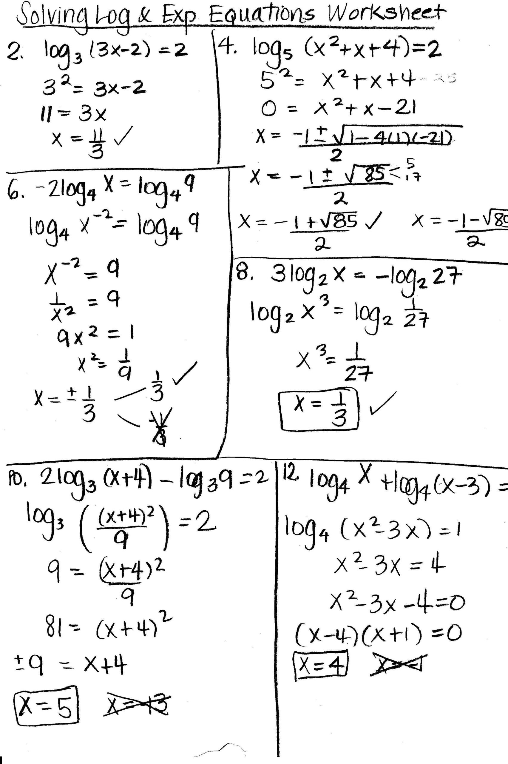
Logarithmic equations can sometimes be challenging for students to master. To help reinforce understanding and practice solving these types of equations, teachers often provide worksheets for students to complete. These worksheets typically contain a variety of logarithmic equations of varying difficulty levels, allowing students to practice their skills and improve their proficiency in this area of mathematics.
Working through logarithmic equations worksheets can help students develop a deeper understanding of logarithms and their properties. By practicing solving equations with logarithmic functions, students can improve their problem-solving skills and become more comfortable working with these types of mathematical expressions.
One common type of logarithmic equation that students may encounter on a worksheet is one that requires them to solve for the unknown variable using properties of logarithms. These types of equations often involve simplifying logarithmic expressions, combining like terms, and applying the rules of logarithms to solve for the variable.
Another type of logarithmic equation that students may practice on a worksheet is one that involves using logarithmic functions to solve real-world problems. These types of problems can help students see the practical applications of logarithms in various contexts, such as finance, science, and engineering.
Additionally, logarithmic equations worksheets may include problems that require students to graph logarithmic functions and identify key features of the graphs, such as asymptotes, intercepts, and transformations. This type of practice can help students visualize the behavior of logarithmic functions and deepen their understanding of how logarithms work.
Overall, working through logarithmic equations worksheets can be a valuable tool for students to improve their skills in this area of mathematics. By practicing solving a variety of logarithmic equations, students can strengthen their problem-solving abilities, deepen their understanding of logarithms, and become more confident in their mathematical abilities.
